adding linear expressions worksheet

Solving Linear Equations Hangman Worksheet Answers solving multistep. 9 Pictures about Solving Linear Equations Hangman Worksheet Answers solving multistep : Adding and Subtracting and Simplifying Linear Expressions with, Evaluating Two-Step Algebraic Expressions with Two Variables (A) and also Solving Linear Equations Hangman Worksheet Answers solving multistep.

Solving Linear Equations Hangman Worksheet Answers Solving Multistep

Solving Linear Equations Hangman Worksheet Answers solving multistep www.pinterest.com

solving equation algebra equations linear worksheet fraction answers math expressions practice hangman fractions worksheets problems simple algebraic variables maths solve

Algebra 1 Worksheets | Rational Expressions Worksheets

Algebra 1 Worksheets | Rational Expressions Worksheets www.math-aids.com

expressions rational worksheets algebra math multiplying aids rationals

Combining Like Terms With Fractions And Decimals Worksheets - 1000

Combining Like Terms With Fractions And Decimals Worksheets - 1000 lbartman.com

terms worksheet combining adding equations subtracting worksheets pdf answer key math step algebra distributive property decimals answers order fractions 6th

Evaluating Algebraic Expression Worksheets

Evaluating Algebraic Expression Worksheets www.mathworksheets4kids.com

expressions worksheet algebraic evaluating expression worksheets inequalities single variable translate inequality algebra printable translating value values variables given true choices

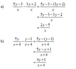
Subtracting Rational Expressions (with Worked Solutions & Videos)

Subtracting Rational Expressions (with worked solutions & videos) www.onlinemathlearning.com

rational expressions subtracting subtract same examples solution example denominators solutions onlinemathlearning step

Solving Linear Equations : Fractions 2 - YouTube

Solving Linear Equations : Fractions 2 - YouTube www.youtube.com

equations fractions linear solving

Evaluating Two-Step Algebraic Expressions With Two Variables (A)

Evaluating Two-Step Algebraic Expressions with Two Variables (A) www.math-drills.com

expressions algebraic algebra variables evaluating math worksheet step three worksheets equations steps drills equation grade practice reading use elementary formulas

Adding And Subtracting And Simplifying Linear Expressions With

Adding and Subtracting and Simplifying Linear Expressions with www.math-drills.com

quadratic multipliers expressions simplifying subtracting algebra

Adding Subtracting Polynomials Worksheet Gina Wilson 2012 - All Things

Adding Subtracting Polynomials Worksheet Gina Wilson 2012 - all things lbartman.com

algebra things polynomials gina wilson worksheet equations linear multiplying systems solving subtracting unit homework adding factoring fishin graphing gone worksheets

Rational expressions subtracting subtract same examples solution example denominators solutions onlinemathlearning step. Expressions rational worksheets algebra math multiplying aids rationals. Algebra 1 worksheets